A Közbeszerzési Hatóság keretében működő Tanács útmutatója a nyertes ajánlattevő kiválasztására szolgáló értékelési szempontrendszer alkalmazásáról
A 2015. november 1-től hatályos 2015. évi CXLIII. törvényben (a továbbiakban: Kbt.) a korábbi joggyakorlathoz képest lényeges változás következett be az értékelési szempontrendszer tekintetében.
Külön kiemelést érdemel, hogy a 2024. február 1. napjától hatályos rendelkezések alapján már nincs lehetőség az értékelési szempontokon belüli alszempontok létrehozására, illetőleg azok értékelésére. Az illetékekről szóló 1990. évi XCIII. törvény és a közbeszerzésekről szóló 2015. évi CXLIII. törvény módosításáról szóló 2023. évi CXVII. törvény (a továbbiakban: 2023. évi CXVII. törvény) indokolásának 8. §-a szerint ennek az az indoka, hogy „[...] sem a közbeszerzési irányelvek, sem pedig az uniós elektronikus hirdetményminták nem alkalmazzák a fogalmat, illetve utóbbiak használata során nem is lesz lehetőség külön alszempontok megadására [...]” . Ennek eredményeképpen, a korábban alszempontként meghatározott elemeket 2024. február 1. napjától kezdődően már külön értékelési szempont(ok)ként lehet meghatározni az eljárást megindító felhívásban.
Az értékelési szempontrendszer helyes és hatékony alkalmazásának elősegítése érdekében a Közbeszerzési Hatóság a Kbt. 76. § (9) bekezdése d) pontja szerinti módszerekről és az ajánlatok elbírálásáról a Kbt. 76. § (12) bekezdése alapján az alábbi útmutatót bocsátja ki.
I. Az útmutató kiadásának célja
A korábbi irányelvi szabályozáshoz képest az értékelési szempontrendszer meghatározása tekintetében az uniós szabályozásban újítás figyelhető meg, melynek célja a közbeszerzés hatékonyabb felhasználása a közös társadalmi célok támogatása érdekében.
A közbeszerzésről és a 2004/18/EK irányelv hatályon kívül helyezéséről szóló, az Európai Parlament és a Tanács 2014/24/EU Irányelvének (2014. február 26., a továbbiakban: Irányelv) (89) preambulumbekezdése szerint „az odaítélési szempontok fogalma ezen irányelv központi elemét képezi. Ezért a rá vonatkozó rendelkezéseket a lehető legegyszerűbb és legésszerűbb módon kell megfogalmazni. Ez a „gazdaságilag legelőnyösebb ajánlat” kifejezés fő koncepcióként való használatával érhető el, hiszen végső soron minden nyertes ajánlatot aszerint kell kiválasztani, hogy az egyes ajánlatkérő szervek a felkínáltak közül mit tekintenek a gazdasági szempontból, összességében legmegfelelőbb megoldásnak. A 2004/17/EK és a 2004/18/EK irányelvből „gazdaságilag legelőnyösebb ajánlat” néven ismert odaítélési szemponttal való összetévesztését elkerülendő, e fogalom megnevezésére más kifejezést, a „legjobb ár-minőség arány”-t célszerű alkalmazni. Következésképpen ezt az említett irányelvekkel kapcsolatos, vonatkozó ítélkezési gyakorlattal összhangban kell értelmezni, kivéve, ha ezen irányelv ettől egyértelműen jelentősen eltérő megoldást tartalmaz” .
Az Irányelv (90) preambulumbekezdése alapján az ajánlatkérőknek a szerződéseket olyan objektív szempontok alapján kell odaítélniük, amelyek biztosítják az átláthatóság, a megkülönböztetésmentesség és az egyenlő bánásmód elvének a betartását, ezzel garantálva az ajánlatok értékének egymással való objektív összehasonlítását, annak meghatározása céljából, hogy – a valódi verseny feltételei mellett – melyik a gazdaságilag legelőnyösebb ajánlat.
Az Irányelv ezen pontjában a gazdaságilag legelőnyösebb ajánlat tekintetében rögzítésre került az is, hogy azt a legjobb ár-minőség arány szempontja alapján kell kiválasztani, amely szempontnak legalább egy ár- vagy költségelemet tartalmaznia kell azzal, hogy a gazdaságilag legelőnyösebb ajánlat ezen értékelése akár elvégezhető kizárólag az ár- vagy a költséghatékonyság alapján is. Az ajánlatkérőknek emellett lehetőségük van arra, hogy a műszaki leírások vagy szerződésteljesítési feltételek alkalmazásával szabadon határozhatnak meg megfelelő minőségi standardokat. Annak elősegítése érdekében, hogy a közbeszerzés során fokozottan előtérbe kerüljön a minőség, a tagállamok számára engedélyezni kell, hogy – amennyiben ezt megfelelőnek tartják – a „gazdaságilag legelőnyösebb ajánlat” kiválasztása céljából megtiltsák vagy korlátozzák a kizárólag az ár vagy a költség értékelésén alapuló elbírálást. [1]
A Kbt. 76. § (2) bekezdése alapján az ajánlatkérők az alábbi három értékelési szempont közül választhatnak:
- a legalacsonyabb ár,
- a legalacsonyabb költség, amelyet az ajánlatkérő által meghatározott költséghatékonysági módszer alkalmazásával kell kiszámítani, vagy
- a legjobb ár-érték arányt megjelenítő olyan - különösen minőségi, környezetvédelmi, szociális - szempontok, amelyek között az ár vagy költség is szerepel.
Az Irányelv (92) preambulumbekezdésének második bekezdése alapján „a választott odaítélési szempontok nem ruházhatnak korlátlan választási szabadságot az ajánlatkérő szervre, továbbá biztosítaniuk kell a tényleges és tisztességes verseny lehetőségét, és olyan szabályoknak kell hozzájuk tartozniuk, amelyek lehetővé teszik az ajánlattevők által benyújtott információk hatékony ellenőrzését”.
Az Irányelv 67. cikk (4) bekezdése megismétli a preambulumban az értékelési szempontok hatékony ellenőrzésének szükségességére vonatkozóan megfogalmazottakat, továbbá rögzíti, hogy „[...] kétség esetén az ajánlatkérő szervnek érdemben meg kell győződnie az ajánlattevő által benyújtott információk és bizonyítékok helytállóságáról”.
A fentiekre, illetőleg a Kbt. vonatkozó rendelkezéseire – különös tekintettel a Kbt. 76. § (6) bekezdés b) pontjában, valamint a Kbt. 76. § (13) bekezdésében rögzítettekre - figyelemmel az ajánlatkérőknek a közbeszerzési dokumentumokban ki kell alakítaniuk az értékelési szempontok hatékony ellenőrzését lehetővé tevő feltételrendszert/intézkedéseket, mind az eljárás bírálati (adott esetben értékelési) szakaszára, mind az eljárás eredményeként megkötésre kerülő szerződés teljesítési szakaszára vonatkozóan . A közbeszerzési dokumentumoknak tehát részét kell képeznie annak is, hogy az értékelési szempont keretében az ajánlattevő által tett vállalás betartását milyen módszerrel és időközönként (az adott beszerzés sajátosságaira tekintettel) fogja az ajánlatkérő ellenőrizni a szerződés teljesítése során, mely ellenőrzésnek alkalmasnak kell lennie arra, hogy lehetővé tegye az ajánlattevők általi vállalások hatékony ellenőrzését.
Amennyiben ezek az (ellenőrzést biztosító) intézkedések hiányoznak, nem egyértelműek, vagy túl általánosak, az kockáztatja a közbeszerzési eljárás átláthatóságát és tárgyilagosságát.
Az értékelési szempontok ellenőrzésével összefüggésben az Európai Unió Bíróságának (a továbbiakban: Bíróság) C-448/01. sz. ügyben hozott ítélete a mérvadó, amelyben rögzítésre került, hogy „amennyiben egy ajánlatkérő szerv olyan odaítélési szempontot határoz meg, amely tekintetében nem szándékozik, továbbá nem is képes ellenőrizni az ajánlattevők által szolgáltatott információk pontosságát, sérti az egyenlő bánásmód elvét, mivel az ilyen jellegű szempontok nem biztosítják a pályázati eljárás átláthatóságát és tárgyilagosságát. Ezért az ajánlattevők által szolgáltatott információk hatékony ellenőrzését lehetővé nem tevő követelményeket támasztó odaítélési szempontok ellentétesek a közösségi közbeszerzési jog elveivel.”
Kiemelendő, hogy a közbeszerzési dokumentumokban (szerződésben) arra vonatkozó előírást is szükséges szerepeltetni, hogy milyen jogi következményekkel (szankciókkal) jár, ha ajánlattevő a szerződés teljesítése során nem tesz eleget az értékelési szempontra tett vállalásának, mely jogkövetkezmény nem lehet csupán névleges vagy elhanyagolható, azaz kellő súlyú joghátrányt kell biztosítania.
Az értékelési szempontrendszer kialakítása a közbeszerzési eljárás előkészítéséhez kapcsolódó eljárási cselekmény. A megfelelő alaposságú előkészítés követelménye az értékelési szempontrendszer kialakítása során is irányadó. Az alkalmazott értékelési szempontrendszernek is biztosítania kell, hogy az eljárásban a gazdasági szereplők képesek legyenek műszakilag megfelelő, fizikailag megvalósítható és gazdasági szempontból reális ajánlatot adni és törekedni kell a beszerzés tárgyát érintő szerződésmódosítások megelőzésére.
II. Legalacsonyabb árra vonatkozó előírások
A C-247/02. számú Sintesi-ügyben kimondta a Bíróság, hogy a tagállamok a nemzeti szabályokat nem alakíthatják úgy, hogy a legalacsonyabb összegű ellenszolgáltatás szempontjának használatát kötelező jelleggel írják elő az ajánlatkérők számára.
A legalacsonyabb árat, mint értékelési szempontot árubeszerzés és szolgáltatás megrendelés tárgyú közbeszerzési eljárásoknál lehet alkalmazni abban az esetben, ha az ajánlatkérő igényeinek valamely konkrétan meghatározott minőségi és műszaki követelményeknek megfelelő áru vagy szolgáltatás felel meg, és a gazdaságilag legelőnyösebb ajánlat kiválasztását további minőségi jellemzők nem, csak a legalacsonyabb ár értékelése szolgálja. Ez a szabály jelenik meg a Kbt. 76. § (5) bekezdésében.
A korábbi szabályozáshoz képest tehát szűkült az ajánlatkérők legalacsonyabb ár értékelési szempontként való alkalmazásának lehetősége. Ennek oka pedig abban keresendő, hogy a jogalkotó a minőségi kiválasztás elsődlegességére kívánta helyezni a hangsúlyt.
Egyebekben a Kbt. nem teszi lehetővé a legalacsonyabb ár, mint egyedüli értékelési szempont alkalmazását sem a tervezési, sem a mérnöki, sem az építészeti szolgáltatások esetében, sem pedig az építési beruházások esetében.
Az építési beruházások, valamint az építési beruházásokhoz kapcsolódó tervezői és mérnöki szolgáltatások közbeszerzésének részletes szabályairól szóló 322/2015. (X. 30.) Korm. rendelet (a továbbiakban: Korm. rendelet) 9. § (1) bekezdésének előírásai szerint az ajánlatkérőnek a tervező és a mérnök kiválasztása során szakmai ajánlatot kell bekérnie, melyet a legjobb ár-érték arányt megjelenítő szempont vagy a legalacsonyabb költség értékelésére alkalmas szempontok szerint kell vizsgálnia.
A tervező és a mérnök kiválasztása esetén a Korm. rendelet 9. § (3) bekezdése rögzíti, hogy a legjobb ár-érték arány, valamint a minőség alapú kiválasztás szempontjának érvényre juttatása érdekében az ajánlati ár az értékelés során nem vehető nagyobb mértékben figyelembe, mint a többi értékelési szempont együttesen, míg a Korm. rendelet 24. § (3) bekezdésében – 2017. június 1-jei hatállyal – előírásra került, hogy – az akár kivitelezésre, akár kivitelezésre és tervezésre együttesen irányuló – építési beruházás esetén az említett célok érdekében az ajánlati ár az értékelés során legfeljebb 70%-os arányban vehető figyelembe, kivéve nukleáris létesítményekre vonatkozó építési beruházások esetén, mely eljárások során ez az arány magasabb is lehet.
A közétkeztetés tárgyú közbeszerzések tekintetében alkalmazandó eljárások sajátos szabályairól szóló 676/2020. (XII. 28.) Korm. rendelet 5. § (1) bekezdése alapján a legalacsonyabb ár szempont egyedüli értékelési szempontként közétkeztetési szolgáltatások esetében nem alkalmazható.
Az ajánlatkérőnek közétkeztetési szolgáltatások esetében az értékelési szempontok meghatározásakor az alábbi szempontok közül legalább hármat figyelembe kell vennie: a) valamennyi beszerzett termék összértékéből a közétkeztetési rövid ellátási láncban beszerzett termékek és helyi élelmiszer termékek összesített aránya vonatkozásban az eljárásban kötelező szerződési feltételként meghatározott arány(ok)nál kedvezőbb (nagyobb) arányú vállalás; b) az ételkészítés és a tálalás helye közötti minél rövidebb szállítási időtartam; c) ellenőrzött ökológiai gazdálkodásból származó termékek minél nagyobb aránya a beszállított élelmiszerek között; d) az eljárásban előírt címkével rendelkező élelmiszerek minél nagyobb aránya a beszállított élelmiszerek között; e) fogyasztói visszajelzési rendszerek bevezetésének vállalása, a szolgáltatást igénybe vevőnek dokumentált módon véleménynyilvánításra, visszajelzésre van lehetősége; f) a táplálkozás-egészségügyi előírásokról szóló rendelet előírásaiban foglalt gyakoriságon felül szolgáltat zöldséget, gyümölcsöt; g) a táplálkozás-egészségügyi előírásokról szóló rendelet előírásaiban foglalt gyakoriságon felül szolgáltat teljes kiőrlésű gabona alapú élelmiszert; h) diétás étkeztetés biztosítását vállalja a szolgáltató.
A gyógyszerek és orvostechnikai eszközök közbeszerzésének sajátos szabályairól szóló 16/2012. (II. 16.) Korm. rendelet 6. § (3) bekezdése alapján az ajánlatkérő a rendelet hatálya alá tartozó árubeszerzések esetén választhatja a Kbt. 76. § (6) bekezdés a) pontja szerinti, a legalacsonyabb ár egyedüli értékelési szempontját. Ezt annak figyelembevételével szükséges alkalmazni, hogy 2025. január 1. napjától e rendelet tárgyi hatálya nem terjed ki az egységes intézeti gyógyszertári szolgáltatásról szóló 33/2024. (II. 22.) Korm. rendelet 1. § (1) bekezdés c) pontja szerinti gyógyszerek beszerzésére [16/2012. (II. 16.) Korm. rendelet 1/B. §].
III. Legalacsonyabb költségre vonatkozó iránymutatások
A legalacsonyabb költség alkalmazása során ajánlatkérő egy általa meghatározott költséghatékonysági módszerrel fogja kiválasztani a gazdaságilag legelőnyösebbnek tekinthető ajánlatot. A Kbt. külön kiemeli ezen módszerek közül az életciklusköltség kiszámításának lehetőségét.
Az életciklusköltség definíciójának meghatározásakor az Irányelv (96) preambulumbekezdéséből érdemes kiindulni, ez alapján pedig az építési beruházások, az áruk vagy szolgáltatások életciklusa során felmerülő összes költség tekinthető költségnek. A Közbeszerzési Hatóság keretében működő Tanács a Kbt. 78. § (4) bekezdés alapján a közbeszerzési eljárások során alkalmazható életciklusköltség-számítási módszerek alkalmazásáról szóló útmutatóval kívánja a jogalkalmazók munkáját e körben segíteni, mely elérhető a Közbeszerzési Hatóság honlapján a Tevékenységek/Jogalkalmazók támogatása/Útmutatók menüpontban.
A Kbt. 76. § (2) bekezdése alapján a legalacsonyabb költség szabadon választható értékelési szempont azzal, hogy alapesetben a Kbt. 76. § (5) bekezdésében foglaltakra figyelemmel elsősorban az ajánlatkérő a legalacsonyabb költség vagy a legjobb ár- érték arány szempontjának alkalmazására köteles.
A Korm. rendelet alapján a tervezői és mérnöki szolgáltatások esetén ajánlatkérőnek kötelező a legjobb ár-érték vagy a legalacsonyabb költség értékelési módszere alapján kiválasztani a nyertes ajánlatot a beérkezett ajánlatok közül.
Az építési beruházások esetében azonban megköveteli a Korm. rendelet 24. § (1) bekezdése, hogy az ajánlatkérő szakmai ajánlat benyújtását írja elő, amelynek vizsgálatát a legjobb ár-érték arányt megjelenítő szempont és a megvalósítandó építmény vagy elvégzendő építési tevékenység - ideértve a Kbt. 1. mellékletében meghatározott tevékenységeket is - minőségének értékelésére alkalmas szempontok szerint végezze el. Tekintettel arra, hogy a Kbt. 76. § (11) bekezdés kifejezetten hivatkozik az építési beruházásra, illetve a Korm. rendelet 24. § (1) bekezdés a legalacsonyabb ár egyedüli értékelési szempontként történő alkalmazását zárja ki, építési beruházás megvalósítására irányuló közbeszerzési eljárásban a nyertes ajánlattevő – Korm. rendelet szerinti minőség alapú – kiválasztására önmagában a Kbt. megfogalmazása alapján a legalacsonyabb költség szempontja egyedüli értékelési szempontként is alkalmazható, ugyanakkor a Korm. rendelet 24. § (1) bekezdésének kifejezett előírására tekintettel [mely szerint a szakmai ajánlatot a legjobb ár-érték arányt megjelenítő szempont alkalmazásával kell értékelni] javasoljuk a legjobb ár-érték arányt megjelenítő szempontrendszer alkalmazását.
IV. A legjobb ár-érték arányt megjelenítő értékelési szempontokra vonatkozó szabályok
A Kbt. külön nevesíti, hogy mely eljárástípusoknál kell kötelezően alkalmaznia az ajánlatkérőknek a legjobb ár-érték arányt megjelenítő értékelési szempontot, ezek pedig a következők:
- a Kbt. 90. § (6) bekezdése alapján a versenypárbeszéd,
- a Kbt. 96. § (4) bekezdése alapján az innovációs partnerség és
- a Kbt. 100. § (3) bekezdése alapján a 98. § (5) bekezdés szerinti hirdetmény nélküli tárgyalásos eljárás esetében.
Amennyiben az ajánlatkérő a legjobb ár-érték arányt megjelenítő értékelési szempontot kívánja alkalmazni, úgy az értékelési szempontról az eljárást megindító felhívásban részletesen rendelkeznie kell.
A legjobb ár-érték arányt megjelenítő értékelési szempontok esetében a Kbt. bár nem ad taxatív felsorolást, ugyanakkor előír néhány szempontot példálózó jelleggel, melyek az alábbiak:
- minőség, műszaki érték, esztétikai és funkcionális tulajdonságok, valamennyi felhasználó számára való hozzáférhetőség, hátrányos helyzetű munkavállalók alkalmazása és egyéb szociális, környezetvédelmi és innovatív tulajdonságok, forgalmazási feltételek, vevőszolgálat és műszaki segítségnyújtás, pótalkatrészek biztosítása, készletbiztonság, a teljesítés időpontja, időszaka;
- a szerződés teljesítésében részt vevő személyi állomány szervezettsége, képzettsége és tapasztalata, ha a személyzet minősége jelentős hatással lehet a szerződés teljesítésének színvonalára. [2]
A Kbt. 76. § (4) bekezdés alapján a legjobb ár-érték arányt megjelenítő szempontrendszer alkalmazható úgy is, hogy az abban szereplő ár vagy költség elemet az ajánlatkérő egy rögzített értéken megadja, és az ajánlattevők az egyéb értékelési szempontok tekintetében versenyeznek egymással.
A rögzített ár-, illetve költségelem előírásának tipikus esete, amikor valamely jogszabály határoz meg fix árat valamely beszerzési tárgy tekintetében. Rögzített ár-, illetve költségelem előírása esetén - a Kbt. alapelvi rendelkezéseire is figyelemmel - különös tekintettel javasolt kellő alapossággal piackutatást végezni, hogy az ajánlatkérő – többek között - a megfelelő piacismeret birtokában tudja megítélni a jogintézmény alkalmazásának jogszerűségét.
Az értékelési szempontrendszer kialakítása során az alábbi rendelkezések tartalmaznak iránymutatást az ajánlatkérők számára.
Elöljáróban megjegyzendő, hogy az ajánlatkérőknek olyan értékelési szempontrendszert kell kidolgozniuk, amely objektív szempontokon alapul, kerüli a szubjektív tényezőket, melyeknél nem kikövetkeztethető, nem nyomon követhető az ajánlatkérői pontozás. Ennek feltétele, hogy az ajánlatkérő egyértelműen előre meghatározza, hogy mely kritériumok kerülnek értékelésre, valamint azt is, hogy azok mely értéke, tartalma, többlet-tartalma eredményez kedvezőbb értékelést, ezáltal több pontot vagy jobb helyezést a rangsorban. Mindemellett fontos, hogy az ajánlatkérők figyelembe vegyék azt is, hogy melyek azok a tényezők, amelyek egyébként érvényességi feltételként kellene, hogy szerepeljenek (pl. jogszabályoknak, tanúsítványnak, szabványnak való megfelelés) az ajánlatok esetében, illetve melyek azok a feltételek, amik az érvényességi feltételekhez képest többlettel bírnak és a szakmai ajánlatban kell, hogy értékelésre kerüljenek.
Hangsúlyozandó a környezetvédelmi szempontok érvényesítésének fontossága az értékelési szempontok között, e körben szükséges felhívni a figyelmet az Európai Bizottság vonatkozó segédanyagaira is. Emellett fontos felhívni a figyelmet a hazai szintű, egyéb jogszabályokra is, melyek szintén a környezetvédelmi szempontok érvényre juttatását segítik elő. E körben szükséges kiemelni az állami építési beruházások rendjéről szóló 2023. évi LXIX. törvény (a továbbiakban: Ábtv.) 45. §-át, mely az Ábtv. hatálya alá tartozó állami építési beruházások megvalósítása érdekében történő, kivitelező kiválasztására irányuló közbeszerzési eljárás esetére tartalmaz az ajánlatok értékelésére vonatkozó rendelkezéseket, valamint szükséges rögzíteni a közbeszerzésekben alkalmazandó környezetvédelmi követelményekről szóló 235/2024. (VIII. 8.) Korm. rendeletet (a továbbiakban: Zöld kormányrendelet) is, mely 2025. január 1. napján hatályba lépett. [3]
A Zöld kormányrendelet 11. § és 12. §-a meghatározott ún. IKT eszközök (pl. monitorok, hordozható számítógépek, asztali számítógépek, okostelefonok), továbbá a képalkotó berendezések beszerzésére irányuló közbeszerzési eljárásokban vagylagos követelményként határozza meg az életciklusköltség-számítási módszer értékelési szempontként való alkalmazását.
A Zöld kormányrendelet 13. § (1)-(2) bekezdése az értékelési szempontok körében is beépíthető követelményként szabályozza az új épületek tervezésére vagy kivitelezésére, vagy tervezésre és kivitelezésre együttesen irányuló, valamint az uniós értékhatárt elérő értékű, a meglévő épületeket érintő építési tevékenység tervezésére vagy kivitelezésére, vagy tervezésre és kivitelezésre együttesen irányuló közbeszerzési eljárások, továbbá a közutak tervezésére vagy kivitelezésére, vagy tervezésre és kivitelezésre együttesen irányuló, valamint az uniós értékhatárt elérő értékű, a meglévő közutakat érintő építési tevékenység tervezésére vagy kivitelezésére, vagy tervezésre és kivitelezésre együttesen irányuló közbeszerzési eljárások tekintetében felsorolt zöld szempontokat. Az ajánlatkérő az (1) vagy (2) bekezdésben foglalt szempontok valamelyike helyett az Ábtv. 3. §-a szerinti állami építési beruházásnak minősülő építési beruházásra irányuló közbeszerzési eljárás során az Ábtv. 45. § (1) bekezdés a)–c) vagy e)–f) pontja szerinti szempontok valamelyikét is előírhatja értékelési szempontként.
A Zöld kormányrendelet 14. §-a előírja továbbá, hogy az ajánlatkérő – amennyiben az építési terméket nem a 13. § szerinti építési beruházásban szerzi be – köteles az építési termék beszerzésére irányuló közbeszerzési eljárásban a termékek környezeti hatásait figyelembe venni. Az ajánlatkérő a műszaki leírásban vagy az értékelési szempontok körében meghatározza azokat a környezeti tulajdonságokat, amelyek valamely címkével, környezetvédelmi terméknyilatkozattal, egyéb harmadik fél által tanúsított környezeti értékeléssel, vagy más megfelelő bizonyítási eszközzel igazolhatók.
Szükséges felhívni a figyelmet továbbá a Miniszterelnökség (jelenleg Nemzeti Fejlesztési Központ) által kiadott, az értékelési szempont(ok) előírásával kapcsolatban követendő közbeszerzési gyakorlatról szóló közleményben foglaltakra, illetőleg a Zöld közbeszerzés támogatásáról szóló, jó gyakorlatokat tartalmazó kézikönyvre (2024 január) is, melyekben szintén szerepelnek környezetvédelmi értékelési szempontokkal kapcsolatos iránymutatások is. Ez utóbbi dokumentumok a https://www.palyazat.gov.hu/informacio/kozbeszerzes oldalon érhetők el.
A fentieken túl, a fenntarthatósági szempontok fontosságának hangsúlyozása, illetve a rendelkezésre álló információk minél szélesebb körben történő elterjesztése érdekében a Hatóság elindította fenntarthatósági microsite-ját. Az oldalon a zöld, a szociális és az innovatív közbeszerzések témában összegyűjtésre kerültek a fenntartható közbeszerzést segítő legújabb magyar és külföldi kiadványok, útmutatók, tanulmányok, valamint a témával foglalkozó hasznos linkek listája. A honlap elérhetősége: http://fenntarthato.kozbeszerzes.hu/ Ezen a honlapon feltüntetésre kerültek azok a(z) – Közbeszerzési Hatóság keretében működő Tanács által kiadott – útmutatók is, amelyek segítségül szolgálhatnak a jogalkalmazók számára egyes beszerzési tárgyakat (pl. bútorok, beltéri takarítási szolgáltatások, grafikai papírok) érintő zöld közbeszerzési követelmények – pl. szerződéses feltételként, műszaki leírás részeként, vagy értékelési szempontként való – beépítése tekintetében, illetőleg további zöld közbeszerzést elősegítő feltételek kialakítása (pl. ökocímkék vagy életciklusköltség-számítási módszertan alkalmazása) vonatkozásában.
A tervező és a mérnök kiválasztása
A Korm. rendelet 9. § (2) bekezdése alapján szakmai minőség értékelésére alkalmas szempontnak minősül minden olyan értékelési szempont, amely alkalmas arra, hogy az építészeti-műszaki tervezés vagy mérnöki feladat ellátásának szakmai színvonalát javítsa [tervezési szolgáltatás esetén a Korm. rendelet 6. § (1) bekezdés e) pontjában meghatározottakhoz képest].
Az ajánlatkérő értékelési szempontként veheti figyelembe különösen:
- a szerződés teljesítésében részt vevő személyi állomány szakmai szervezettségének mértékét (például a teljesítésbe bevont szakemberek átlagos létszáma, vezető mérnökök létszáma, feladatkiosztás rendje, munkaszervezés, belső ellenőr, külső ellenőr alkalmazása);
- a szerződés teljesítésében részt vevő személyi állományának képzettségét és tapasztalatát;
- a munkavégzés értékelésére vonatkozó szempontokat, ezen belül
- a tervezési vagy mérnöki szolgáltatás teljesítésére vonatkozó módszer bemutatását,
- a tervezési vagy mérnöki szolgáltatás nyújtásához kapcsolódó környezetvédelmi, fenntarthatósági megoldásokat,
- a tervezési szolgáltatás eredményeként megvalósuló projekt költségelemzésének módszertanát.
A legjobb ár-érték arány, valamint a minőség alapú kiválasztás szempontjának érvényre juttatása érdekében az ajánlati ár az értékelés során nem vehető nagyobb mértékben figyelembe, mint a többi értékelési szempont együttesen. [4]
Abban az esetben, ha több ár alapú szempontot kíván értékelni az ajánlatkérő, úgy azok összessége lesz az irányadó a fenti szabály alkalmazása során.
Építési beruházás
Építési beruházás tárgyú közbeszerzési eljárásban hasonlóképpen kell eljárnia az ajánlatkérőnek az értékelési szempontrendszer meghatározása során, azzal a különbséggel, hogy a megvalósítandó építmény vagy elvégzendő építési tevékenység értékelése során az alábbi szempontokat írhatja elő (a felsorolás példálózó jellegű):
- az ajánlott építőanyagok minősége,
- a környezetvédelmi, fenntarthatósági követelmények figyelembe vétele,
- speciális területi adottságok (örökségvédelmi, vízminőség-védelmi, természet- és tájvédelmi adottságok) kezelésének módja,
- az innovatív megoldások alkalmazása. [5]
A teljesítési határidő a fenti felsorolásból 2017. január 1-jei hatállyal kikerült, ezzel is jelezve, hogy a teljesítési határidő nem alkalmas a minőségi alapú értékelésre, így értékelési szempontként való alkalmazása önmagában az ár mellett nem javasolt (annak használata a szabályozás célja ellen irányult). Emellett például a kötbérre, jótállásra vagy egyéb garanciákra, részszámlák számára, igényelt előleg mértékére vonatkozó értékelési szempontok sem tekinthetőek kifejezetten minőségi szempontoknak. A jótállás tekintetében azonban a D.463/18/2023. ügyben a Közbeszerzési Döntőbizottság kimondta, hogy a jótállás minőségi szempontként történő előírását nem tiltják a Kbt. nyertes ajánlattevő kiválasztására vonatkozó szabályai. A Döntőbizottság álláspontja szerint a jótállás olyan objektív szempont, ami megfelelően szolgálja az ajánlatok összehasonlíthatóságát. A Döntőbizottság a tárgyi esetben rögzítette, hogy a jótállás értékelési szempont megfelel a Kbt. 76. § (6) bekezdés szerinti követelményeknek. A jótállás egyértelműen a szerződés tárgyához kapcsolódik, nem biztosít önkényes döntési lehetőséget az ajánlatkérőnek, az objektív értékelést kifejezetten lehetővé teszi, emellett mennyiségi szempont alapján értékelhető tényezőn alapul. A Döntőbizottság osztotta továbbá az ajánlatkérő és az érdekelt álláspontját, mely szerint a hosszabb időtartamú jótállás vállalása arányosan a kivitelezés minőségének növelése irányában hat, ezért a jótállás időtartamának értékelési szempontrendszerbe történő bevonása és annak súlyszáma a minőség alapú kiválasztás szempontjának érvényre juttatását a jelen beszerzés esetében megfelelően szolgálta. [6]
A jótállás értékelési szempont tekintetében javasolt figyelembe venni az auditkockázatokat és azt a szempontot, hogy egy hibás teljesítés jogkövetkezménye (jótállás) alapvetően nem a teljesítés minőségéhez kapcsolódik. Amennyiben azonban az ajánlatkérő mégis a jótállást kívánja értékelési szempontként alkalmazni, akkor fokozottan indokolnia és bizonyítania kell a jogszabályi követelmények teljesülését, különösképpen azt, hogy az előírás ténylegesen összefüggésben áll a teljesítés magasabb minőségével és igazolhatóan szükséges.
A többlet jótállás értékelési szempontként történő előírásával kapcsolatban további iránymutatást adhat a D.129/12/2024. számú döntőbizottsági határozat.
Az építési beruházások vonatkozásában 2017. június 1-jét követően megkezdett közbeszerzési eljárásokban az ár legfeljebb 70 %-os arányban vehető figyelembe (kivéve nukleáris létesítményekre vonatkozó építési beruházások esetén, mely eljárások során ez az arány magasabb is lehet).
Minden beszerzési tárgy esetében irányadó szabályok
A Bíróság joggyakorlata rámutatott arra, hogy bár a fenti szempontokon túlmenően más szempontokat is figyelembe vehetnek az ajánlatkérők, azonban meghatározásra kerültek olyan alapvető elvárások e tekintetben, melyeket kötelező figyelembe venni az értékelési szempontrendszerek kialakítása során.
A Beentjes-ügyben (C-31/87.) kimondta a Bíróság, hogy az ajánlatkérők ugyan szabadon választhatják meg az értékelési szempontokat, azonban ez a lehetőségük annyiban korlátozott, hogy a szabad választás joga csak olyan szempontokra vonatkozhat, amelyek ténylegesen a gazdaságilag legelőnyösebb ajánlat kiválasztását szolgálják.
A Kbt. 76. § (6) bekezdésében található rendelkezéseket tekintve általánosságban az a követelmény az ajánlatkérők felé az értékelési szempontrendszer kidolgozása során, hogy egy objektív szempontrendszert alakítsanak ki, melyben:
- valamennyi szempontnak a szerződés tárgyához kell kapcsolódnia;
- az értékelésnek mennyiségi vagy szakmai szempontok alapján értékelhető tényezőkön kell alapulnia, tehát nem biztosíthatnak önkényes döntési lehetőséget az ajánlatkérőnek;
- nem sérülhet a verseny tisztaságának elve, az átláthatóság, a nyilvánosság, a jóhiszeműség és tisztesség elve, valamint a hatékony és felelős gazdálkodás elve, továbbá a nemzeti elbánás elve;
- az ajánlatkérő esélyegyenlőséget és egyenlő bánásmódot biztosít a gazdasági szereplők számára és arányos módon jár el;
- nem értékelhető az ajánlattevő szerződés teljesítéséhez szükséges alkalmassága. Amennyiben a Kbt. 76. § (3) bekezdés b) pontja szerint a személyi állomány értékelésre kerül, úgy egyértelműen el kell különíteni az alkalmassági minimumkövetelményeket az értékelési szempontoktól;
- az egyes ajánlati elemek többszörös értékelése ne következhessen be.
1. A szerződés tárgyához való kapcsolódás:
Azzal összefüggésben, hogy mi tekintendő a szerződés tárgyához kapcsolódó szempontnak, a Concordia Buses-ügyben (C-513/99) kialakított európai bírósági joggyakorlatot tekintve elmondható, hogy az ajánlatkérők például csak olyan környezetvédelmi követelményeket várhatnak el az ajánlattevőktől, amelyek nem biztosítanak ajánlatkérő számára választási szabadságot (kizárva az önkényes választási lehetőséget), illetve azok az eljárást megindító hirdetményben feltüntetésre kerülnek, továbbá előírásukkal a közösségi irányelvekben deklarált alapelvek nem sérülnek.
A Kbt. a fenti iránymutatások alapján külön kiemeli és rögzíti a Kbt. 76. § (7) bekezdésben, hogy az értékelési szempontok akkor tekintendők a szerződés tárgyához kapcsolódónak, ha azok az adott szerződés alapján megvalósítandó építési beruházáshoz, szállítandó áruhoz vagy nyújtandó szolgáltatáshoz bármely módon és azok életciklusának bármely szakaszában kapcsolódnak, ideértve azokat a tényezőket is, amelyek
- az adott építési beruházás, áru vagy szolgáltatás előállítása, nyújtása vagy a vele való kereskedés konkrét folyamatához kapcsolódnak; vagy
- az adott építési beruházás, áru vagy szolgáltatás életciklusának valamely másik szakaszában megvalósuló valamely folyamathoz kapcsolódnak;
még akkor is, ha ezek érdemben nem határozzák meg az építési beruházás, áru vagy szolgáltatás végeredményének tulajdonságait.
A szerződés tárgyához való kapcsolódás vonatkozásában szükséges megemlíteni, hogy az ajánlatkérőnek javasolt piacfelmérést és piackutatást végeznie, hogy a beszerzéshez kapcsolódó piacon a kívánt értékelési szempont alkalmazható-e. A közbeszerzés eredményességét és a legjobb ár-érték arány elérhetőségét befolyásolja, hogy amennyiben az ajánlatkérő olyan értékelési szempontot határoz meg, amely az adott piacon általánosan megvalósuló és elérhető tulajdonság, érték (tehát a termékek, szolgáltatások többsége rendelkezik ezen tulajdonoságokkal), akkor az ajánlatkérő valójában nem tesz különbséget az ajánlatok között minőségi szempontok alapján és kizárólag az ajánlati ár lesz a döntő szempont. Amennyiben az ajánlatkérő olyan értékelési szempontot határoz meg, amely az adott piacon csak kevés számú gazdasági szereplő által teljesíthető, akkor az ajánlatkérőnek fokozottan meg kell vizsgálnia az alapelvek sérelmének lehetőségét, különös tekintettel a versenykorlátozásra. További korlát, hogy jogszabályi követelmény értékelési szempontként nem írható elő.
2. Mennyiségi vagy szakmai szempontok alapján értékelhető tényezők
A nem mennyiségi alapon megítélhető tényezők esetében is követelmény, hogy az értékelés szakmai mérce alapján ellenőrizhető legyen. A szakmai típusú szempontokkal kapcsolatosan is irányadó az ajánlatok összehasonlíthatósága érdekében, hogy a szempontoknak értékelhető tényezőkön kell alapulniuk. Az ajánlatkérőknek ezen szempontok vonatkozásában is egyértelműen meg kell határozniuk, hogy az ajánlati elem mely összetevőit, tulajdonságait fogják vizsgálni. Az értékelés alapját képező pontkiosztási kritériumok nem tekinthetők objektív tényezőkön alapuló, szakmailag egyértelműen megítélhető feltételeknek, ha a pontok kiosztása olyan szubjektív kritériumokon alapul, mint például „egyértelműen lehatároltak”, „jól határozza meg”, „könnyebben betartható, reálisabb”, „a felsorolás teljeskörű”, „logikus és hierarchikus struktúrában való bemutatás”, „érdemben indokolja”, „hibás, hiányos” stb. Az értékelés módszere ezen szempontok tekintetében nem alkalmas az ajánlatok objektív értékelésére.
3. Az alkalmassági minimumkövetelmények és az értékelési szempontrendszer követelményeinek elválasztása
Tekintve a korábbi európai bírósági joggyakorlatot megállapítható, hogy az alkalmasság és az értékelés teljes mértékben egymástól elkülönülő rész volt a közbeszerzési eljárásokban, közöttük semmilyen átfedés nem volt megengedett. Ezt támasztják alá a Beentjes-ügyben (C-31/87.) kimondottak, melyek szerint az alkalmasság, illetve a szerződések odaítélésének folyamata két egymástól jól elkülöníthető, eltérő szabályozási rendszerrel bíró folyamat egy közbeszerzési eljáráson belül.
A Lianakis és társai (C-532/06.) számú üggyel kapcsolatban e tekintetben továbbfejlődött a joggyakorlat, és az értékelési szempontok közül kizárásra kerültek azok a feltételek, melyek egyébként a szerződés teljesítésére való alkalmasság megítélése szempontjához köthetők.
Lényeges újítás figyelhető meg az új irányelvi előírások között a korábbi szabályozáshoz képest. Ugyanis, amennyiben az ajánlatkérők a szerződés teljesítésében részt vevő személyi állomány szervezettségét, képzettségét és tapasztalatát - ha a személyzet minősége jelentős hatással lehet a szerződés teljesítésének színvonalára [7] -, kívánják értékelni, erre abban az esetben van lehetőségük, ha elkülönítik egymástól az alkalmassági követelményeket, mint minimumelvárásokat azoktól az alkalmassági előírásokhoz képest egyéb többletkörülményektől, melyeket az értékelés keretében figyelembe kívánnak venni. (C-601/13- Ambisig-ügy).
A személyi állomány értékelése vonatkozásában a Közbeszerzési Hatóság keretében működő Tanács az alábbiakra hívja fel a jogalkalmazók figyelmét.
A személyi állománnyal összefüggő értékeléssel kapcsolatban általánosságban ki kell emelni, hogy annak a szerződés tárgyára vonatkozó ajánlatot kell tartalmaznia és nem az ajánlattevő általános képességeire vagy múltjára vonatkozó felmérést. A személyi állomány értékelése nem önmagában a személyi állomány létszámának értékelését jelenti.
A szervezettséggel összefüggésben - tekintettel arra, hogy az értékelési szempontoknak a teljesítés minőségével kell összhangban lenniük oly módon, hogy a hatás nyilvánvaló és megkérdőjelezhetetlenül egyértelmű – megállapítható, hogy az nem ajánlattevő általános szervezeti felépítésére vagy struktúrájára vonatkozik, hanem a teljesítésben részt vevő csoporttal kapcsolatos, releváns szervezeti paraméterekre, amelyek a szerződés tárgyához közvetlenül kapcsolódnak és annak teljesítését ténylegesen elősegíthetik. Az ajánlatkérőnek előre meg kell adni, hogy az összehangoltság mikor kedvezőbb számára, mikor kaphat ajánlattevő kedvezőbb pontszámot.
A képzettséggel kapcsolatban az értékelés nagy veszélyeket rejt magában, hiszen ez olyan tartalommal bír, mely az alkalmasság körében sokkal inkább elképzelhető, hiszen a képzettség egy, az oktatási rendszer kereteiben megszerzett tulajdonság, ahol a különböző, azonos képzettséget vagy végzettséget adó intézmények semmiképp sem hasonlíthatók össze. Ebben az esetben az alapfokú, a középfokú és a felsőfokú végzettségek kerülnek összehasonlításra, feltéve, hogy az adott tevékenység mindhárom végzettséggel ellátható.
A tapasztalat, mint ajánlati elem a legkönnyebben számszerűsíthető, hiszen itt a szerzett nominális értékeket lehet összevetni, ugyanakkor a tapasztalatok szerzési idejének korlátozásával (pl. az előző 3 év) összefüggésben felhívjuk a figyelmet arra, hogy az akár alapelvi sérelemmel is járhat. Természetesen elképzelhető, hogy például történt egy paradigmaváltás az adott szakterületen, ami a korábban szerzett tapasztalatokat felülírja, így ebben az esetben ezen váltási időszak az, ami időpontként megjelenhet. Az előzőekre tekintettel a javaslatunk az, hogy esetenként vizsgálják az ajánlatkérők a korlátozás lehetőségét.
A személyi állomány fogalmát a Kbt. nem definiálja, ezáltal az sem előírás, hogy az értékelésnél bemutatott szakemberek munkaviszonyban álljanak az ajánlattevővel.
Az ajánlatkérő a személyi állomány esetében a rendelkezésre állási nyilatkozat benyújtásának kötelezettségét is előírhatja, illetve nem kizárt annak a lehetősége sem, hogy e szakemberek tekintetében a gyakorlati idő egy értékelhető szempont legyen.
Amennyiben az értékelés során bemutatott szakember nem felel meg ajánlatkérő előírásainak, a Kbt. 71. § (9) bekezdése – az ott rögzített esetekben – lehetővé teszi a hiánypótlást a szakember személyét illetően, azzal, hogy a szakemberek személye hiánypótlás keretében csak úgy változhat, hogy a hiánypótlásban az értékeléskor figyelembe veendő minden releváns körülmény tekintetében a korábbival legalább egyenértékű szakember kerül bemutatásra. A szakember személyének változására két esetben kerülhet sor: egyrészt a Kbt. 71. § (4) bekezdése szerinti esetben, másrészt a Kbt. 2018. január 1. napjától hatályos szabálya értelmében akkor, ha az az alkalmassági követelménynek való megfelelés miatt szükséges. Ha a hiánypótlás során a korábbinál nagyobb tapasztalattal, magasabb képzettséggel rendelkező személy kerül bemutatásra, az ajánlatkérő az értékeléshez akkor is csak az általa pótoltatott szakember adatait veheti figyelembe, a hiánypótlás ilyenkor is csak az érvényessé tételt szolgálja, és nem eredményezi az értékeléskor figyelembe veendő tényezők változását.
A Kbt. – 2020. február 1-jétől hatályos – 71. § (9) bekezdése a felolvasólapon szereplő információk elsődlegességét rögzíti, amikor az értékelésre kerülő szakember, illetve a szakemberrel kapcsolatos követelmények hiánypótlási szabályait illetően előírja, hogy:
- ha az értékeléshez bemutatott szakemberre vonatkozó, a felolvasólapon feltüntetett adat és az ajánlatban a szakemberre vonatkozóan csatolt dokumentum tartalma között olyan ellentmondás van, hogy a felolvasólapon az értékelésre kerülő szakember tapasztalatát érintő kedvezőbb értéket tüntetett fel az ajánlattevő, és nem sikerül felvilágosítás vagy a már bemutatott szakemberre vonatkozó dokumentum hiánypótlása keretében a felolvasólapon feltüntetett adatot alátámasztani, az ajánlatkérő az ajánlatot érvénytelenné nyilvánítja;
- ha olyan ellentmondás áll fenn a felolvasólap és a szakemberre vonatkozóan csatolt dokumentum között, hogy a felolvasólapon feltüntetett adat kevésbé kedvező, az értékeléskor – továbbra is – a felolvasólapon szereplő adatot kell figyelembe venni.
Általában a minőségi szempontokhoz kapcsolódóan értékelhető továbbá az álláskereső vagy tartósan álláskereső rétegek foglalkoztatására vonatkozó megajánlás, de az álláskeresők képzését célzó intézkedések végrehajtása is. [lásd: C-31/87. ítéletet (Beentjes), miszerint tartós munkanélküliek foglalkoztatására vonatkozó feltétel összeegyeztethető az irányelvvel, ha nem tartalmaz közvetlen vagy közvetett – állampolgárságon alapuló - hátrányos megkülönböztetést.]
Európai Bizottsági audit tapasztalatok [8] alapján a Közbeszerzési Hatóság keretében működő Tanács felhívja a jogalkalmazók figyelmét arra, hogy a társadalmi/szociális alapú, valamint a környezetvédelmi értékelési szempontként eszköz felhasználására vonatkozó értékelési szempontok közbeszerzési szerződés tárgyához történő kapcsolódását az ellenőrzést végző szervek abban az esetben ítélik/minősítik igazoltnak, ha a közbeszerzési eljárásra vonatkozó kiírásban kifejezetten rögzítésre kerül, hogy az érintett megajánlás/kötelezettségvállalás teljesítésére (pl.: az álláskereső vagy tartósan álláskereső rétegek foglalkoztatására; újrahasznosított papír használatának vállalására) az adott közbeszerzési eljárás eredményeként megkötésre kerülő szerződés teljesítése során kerül sor.
A fenti kikötés hiányában ugyanis nem állapítható meg, hogy a megajánlás/kötelezettségvállalás kapcsolódik a szerződés tárgyához, mivel abból, hogy a megajánlás/kötelezettségvállalás (a fenti kikötés nélkül) a közbeszerzési dokumentáció/ajánlat részét képezi, nem az következik, hogy a megajánlás/kötelezettségvállalás (csak) a teljesítendő (adott közbeszerzési eljárás eredményeként megkötésre kerülő) szerződéshez kapcsolódik, hanem az, hogy az akkor is teljesül, ha az ajánlattevő általában véve, a napi működése során tesz eleget a megajánlásnak/kötelezettségvállalásnak.
A Kúria Kf.VI.37.816/2018/8. számú döntésének elvi tartalma szerint a Kbt. 76. §-ában meghatározott szociális szempont alatt – pontos törvényi fogalommeghatározás, zárt taxáció, kizáró rendelkezés hiányában, figyelemmel a Kbt. 132. §-ában foglaltakra is – a fogvatartottak foglalkoztatása is értendő.
A teljesítési határidő, illetve az előteljesítés mértéke, mint minőségi szempont előírása az értékelési szempontok között lehetőség ugyan az ajánlatkérők számára, ugyanakkor több szempontból aggályos is lehet. Első sorban azért, mert az ajánlattevők adott esetben tehetnek olyan vállalásokat, melyekkel ugyan nyertesként kerülhetnek kihirdetésre, de a szerződés teljesítése során kiderülhet, hogy a nyertes ajánlatban szereplő megajánlás irreálisnak bizonyult és a szerződés módosítása válhat szükségessé a vállalt teljesítési határidő meghosszabbítása tekintetében. A Közbeszerzési Hatóság keretében működő Tanács felhívja az ajánlatkérők figyelmét arra, hogy ebben az esetben a szerződés módosításának jogszerűsége különösen aggályos lehet.
4. Értékelési szempontok módosítása
Közbeszerzési eljárásban az értékelési szempont a részvételi/ajánlattételi határidő lejártát követően nem módosítható. Ennek megfelelően tilos az értékelési szempontrendszer módosítása tárgyalási szakaszban is [Kbt. 88. § (6) bekezdés b) pont, Kbt. 101. § (2) bekezdés c) pont].
A részvételi/ajánlattételi határidőt megelőzően az értékelési szempontrendszer módosítása nem eredményezheti a közbeszerzési eljárással vagy a megkötendő szerződéssel összefüggő feltételek olyan módosítását, ahol az új feltételek ismerete alapvetően befolyásolhatta volna az adott közbeszerzési eljárás iránt érdeklődő gazdasági szereplők körét [Kbt. 55. § (2)-(3) bekezdésekre és a Kbt. 55. § (6) bekezdés szerinti korlátokra is figyelemmel]. [9]
Koncessziós beszerzési eljárásban az ajánlatkérőnek az értékelési szempontokat csökkenő fontossági sorrendben kell feltüntetnie. Az értékelési szempontokat, valamint az értékelés során alkalmazott módszer leírását az eljárást megindító felhívásban vagy a további közbeszerzési dokumentumokban kell meghatározni. Ha a koncessziós beszerzési eljárásban olyan ajánlatot nyújtanak be, amely kivételesen magas funkcionális teljesítményt nyújtó, innovatív megoldást kínál, és e megoldást egy kellő gondossággal eljáró ajánlatkérő nem láthatta előre, az ajánlatkérő kivételesen módosíthatja az értékelési szempontok fontossági sorrendjét. A fontossági sorrend módosulása nem eredményezheti a Kbt. 2. § (1)–(3) bekezdésében foglalt alapelvek sérelmét. Ebben az esetben az ajánlatkérő,
a) amennyiben az értékelési szempontok az eljárást megindító felhívás közzétételével egyidejűleg kerültek közzétételre, az ajánlatkérő új eljárást megindító felhívást köteles hirdetményben közzétenni, figyelembe véve a Kbt. 123. § (2) bekezdésében meghatározott huszonöt napos – ha az ajánlatok csak részben nyújthatók be elektronikusan, harminc napos – minimális ajánlattételi vagy részvételi határidőt;
b) amennyiben az értékelési szempontok az eljárást megindító felhívás közzétételével egyidejűleg még nem kerültek közzétételre, minden ajánlattevőt köteles tájékoztatni a módosulásról, és új ajánlattételre vonatkozó felhívást küld ki, figyelembe véve a Kbt. 123. § (2) bekezdésében meghatározott tizenhét napos – ha az ajánlatok csak részben nyújthatók be elektronikusan, huszonkét napos – minimális ajánlattételi határidőt. [Kbt. 125. § (2) és (4) bekezdés]
5. Kötelező előnyben részesítés közszolgáltatók vonatkozásában
Közszolgáltató ajánlatkérő, árubeszerzés esetében, ha az értékelési szempont szerinti értékelés során több ajánlat azonos, köteles előnyben részesíteni azt az ajánlatot, amely – az áruk összértéke tekintetében – 50%-ot elérően vagy meghaladóan olyan származású árut ajánl, amely számára nemzeti elbánást kell nyújtani.
Azonosnak minősül az előnyben részesítendő ajánlat, ha az árkülönbözet – az előnyben nem részesítendő ajánlat árához képest – nem haladja meg a 3%-ot.
Az elektronikus hírközlő hálózati berendezésekben használt szoftvereket árunak kell tekinteni.
Előnyben részesítési szabályok alkalmazása esetén az eljárás nyertese az előnyben részesített ajánlatot tevő, ha pedig több előnyben részesítendő ajánlat van, az az ajánlattevő, amelynek ajánlata alacsonyabb árat tartalmaz. Azonos árajánlat esetében az eljárás nyertese az az ajánlattevő, akinek az ajánlata a nem egyenlő értékelési pontszámot kapott szempontok közül a legmagasabb súlyszámú szempontra nagyobb értékelési pontszámot kapott.
Az ajánlatkérőnek nem kell alkalmaznia a kötelező előnyben részesítési szabályokat, ha az ajánlat előnyben részesítése azzal a következménnyel járna, hogy műszaki-technikai szempontból eltérő és nem illeszkedő dolgokat kellene beszerezni, vagy az ilyen beszerzés aránytalan műszaki-technikai nehézséget eredményezne a működtetésben és a fenntartásban vagy aránytalan költségtöbblettel járna. [a közszolgáltatók közbeszerzéseire vonatkozó sajátos közbeszerzési szabályokról szóló 307/2015. (X. 27.) Korm. rendelet 5. § (2)-(5) bekezdés]
V. Egyéb előírások a legkedvezőbb ajánlatot tevő kiválasztására
A Kbt. 76. § (9) bekezdése rögzíti, hogy ha az ajánlatkérő nem egyedüli értékelési szempontként alkalmazza a legalacsonyabb ár szempontját vagy a Kbt. 78. § szerinti módszerrel meghatározva a legalacsonyabb költség szempontját, köteles meghatározni:
- a legalacsonyabb költséget vagy a legjobb ár-érték arányt megjelenítő értékelési szempontokat és az azok súlyát meghatározó - az értékelési szempont tényleges jelentőségével arányban álló - szorzószámokat (súlyszám),
- az ajánlatok értékelési szempontok szerinti tartalmi elemeinek értékelése során adható pontszám alsó és felső határát, amely minden értékelési szempont esetében azonos,
- azt a módszert (módszereket), amellyel megadja a ponthatárok [c) pont] közötti pontszámot.
2024. február 1. napját megelőzően – amennyiben az értékelési szempont körében alszempontok is meghatározásra kerültek – szükséges volt meghatározni alszempontonként azok – tényleges jelentőségével arányban álló – súlyszámát is, ugyanakkor az „alszempont” fogalma 2024. február 1. napjától a Kbt.-ből kivezetésre került, így erre irányuló kötelezettség sem áll már fenn az ajánlatkérő számára.
A súlyszám tekintetében nincsenek kötelező előírások, miszerint a súlyszámok összegének 100-nak kell lennie. A súlyszám az adott értékelési szempont fontosságához mérten kell, hogy indokolt legyen.
A pontszám alsó és felső határára vonatkozó előírás, hogy azoknak minden értékelési szempont esetében azonosnak kell lenniük [Kbt. 76. § (9) bekezdés c) pont], továbbá az ajánlatkérőnek az alapelvek érvényesítése mellett az alábbi szempontokat is javasolt figyelembe vennie:
- a pontszám alsó határa nem lehet “1 pont” érték azokban az esetekben, amikor az értékelési szempontra a vállalás értéke nulla/semmi (pl. “0 hónap többlettapasztalat)” / “nem vállalom” / “a megajánlott termék nem rendelkezik az értékelési szempont vonatkozásában megadott tulajdonsággal”). Ezekben az esetekben a pontszám alsó értéke csak “0 pont” lehet.
- javasolt annak előzetes rögzítése, hogy az ajánlatkérő milyen módon végzi el az értékelést a tekintetben, hogy például alkalmaz-e kerekítést az értékelés során vagy sem, ezzel együtt javasolt körültekintéssel eljárni a kerekítés szabályainak előírása során - különösen nagyértékű beszerzések esetén - mert például egy vagy két tizedesjegyig történő kerekítés esetén torzítást eredményezhet az, hogy az ajánlatok esetleges számottevő – értékbeni – különbözősége esetén is kerekítve azonos pontszámot kapnak az ajánlattevők.
A Kbt. 77. § (1) bekezdése alapján az ajánlatkérőnek az ellenszolgáltatást vagy költséget tartalmazó értékelési szemponton kívüli értékelési szempontokkal összefüggő ajánlati elem vonatkozásában az eljárást megindító felhívásban lehetősége van arra, hogy meghatározzon az adott ajánlati elemhez kapcsolódóan egy legkedvezőbb szintet, amelyre és az annál még kedvezőbb vállalásokra egyaránt az értékelési ponthatár felső határával azonos számú pontot ad, de meghatározhat bármely szempont – valamint (az átalánydíjas szerződések kivételével) az önállóan nem értékelt, de az ajánlattevő ajánlatában foglalt, az ajánlatkérő által a szerződés alapján fizetendő ellenszolgáltatást rögzítő egységár vagy költség – tekintetében olyan elvárást is, amelynél kedvezőtlenebb az adott ajánlati elem nem lehet és az ajánlat érvénytelenségét vonná maga után. A maximum, illetve minimum határ megjelölése a megajánlások tekintetében tehát egy lehetőség és nem kötelezettség az ajánlatkérő számára.
Az előírás a korábbi szabályozáshoz képest többlet lehetőséget biztosít az ajánlatkérők számára, ugyanis a korlátozást az ár és költség típusú szempontok esetén is engedi alkalmazni.
Ha az ajánlatkérő a Kbt. 77. § (1) bekezdése szerint meghatározta egy ajánlati elem legkedvezőbb szintjét és az ajánlatban ezen elemre vonatkozó adatokban ellentmondás van, de megállapítható, hogy az ajánlati elemre ettől függetlenül is az elérhető legmagasabb pontszámot kell adni, az ajánlat nem nyilvánítható érvénytelenné és a Kbt. 71. § (9) bekezdés b) pontja nem alkalmazandó. A jogszabályhelyhez fűzött jogalkotói indokolás szerint ezen rendelkezés beillesztésének célja annak kiküszöbölése volt, hogy amennyiben az ajánlat egyes dokumentumaiban ellentmondás található, akkor az ajánlat ne legyen olyan esetben érvénytelen, ha az információkban található eltérés nem befolyásolja az értékelés során elérhető pontszámot. Ilyen eset lehet például az, ha egy szakember tapasztalata vonatkozásában a felolvasólapon szereplő adat nem felel meg teljes mértékben a szakember önéletrajzában található információnak, azonban az ajánlattevő jogosult a maximális értékelési pontszámra, bármelyik dokumentum tartalmát is veszi alapul az ajánlatkérő. Ezzel a szabállyal kiküszöbölhető, hogy egy ajánlat csupán egy, az értékelés szempontjából nem jelentős hiba miatt legyen érvénytelen.
A Kbt. 77. § (1) bekezdése szerinti legkedvezőbb szint, illetve legkedvezőtlenebb elvárás meghatározásához a Miniszterelnökség (jelenleg: Nemzeti Fejlesztési Központ) útmutatót bocsátott ki, mely elérhető a https://www.palyazat.gov.hu/informacio/kozbeszerzes oldalon. A legkedvezőtlenebb elvárás meghatározása körében a fent említett útmutató az alábbi képletet javasolja alkalmazni:

ahol
Pvizsgált: a vizsgált ajánlati elem adott szempontra vonatkozó pontszáma
Pmax: a pontskála felső határa
Pmin: a pontskála alsó határa
Alegkedvezőbb: az ajánlatkérő által a Kbt. 77. § (1) bekezdése alapján meghatározott legkedvezőbb érték, amire a maximális pontszámot adja
Alegkedvezőtlenebb: az ajánlatkérő által a Kbt. 77. § (1) bekezdése alapján meghatározott legkedvezőtlenebb érték, amire a minimális pontszámot adja
Avizsgált: a vizsgált ajánlat tartalmi eleme
Ha az ajánlattevő az értékelési szempontrendszer valamely pontjára nem tesz megajánlást, hiánypótlásra nincs lehetőség, ajánlata érvénytelen. Ebben az esetben az ajánlatkérő az ajánlat érvénytelenségét megállapíthatja annak további – bírálati körbe tartozó – vizsgálata nélkül.
A Kbt. 76. § (10) bekezdése alapján, amennyiben objektív okból az értékelési szemponthoz az ajánlatkérő nem tudna súlyszámot rendelni, úgy kivételes esetben csökkenő fontossági sorrendet kell meghatároznia és az eljárást megindító felhívásban csökkenő sorrendben kell feltüntetnie az értékelési szempontokat. E módszer alkalmazása abban az esetben lehetséges csak, ha az ajánlatkérő a felhívásban azt egyértelműen, kellőképpen, objektív módon alá tudja támasztani. A Kbt. 77. § (2) bekezdése ilyenkor nem lesz irányadó.
A Kbt. 77. § (2) bekezdés szerint, abban az esetben, ha az ajánlatkérő nem egyedüli értékelési szempontként a legalacsonyabb ár szempontját alkalmazza, az ajánlatoknak az értékelési szempontok szerinti tartalmi elemeit az eljárást megindító felhívásban meghatározott ponthatárok között értékeli az általa meghatározott módszerrel, majd az egyes tartalmi elemekre adott értékelési pontszámot megszorozza a súlyszámmal, a szorzatokat pedig ajánlatonként összeadja. Az az ajánlat a legkedvezőbb, amelynek az összpontszáma a legnagyobb. Ha az ajánlatkérő egyedül a legalacsonyabb költség értékelési szempontját alkalmazza és annak körében az áru, szolgáltatás vagy építési beruházás költségét életciklusköltség-számítási módszer alkalmazásával határozza meg, a legkedvezőbb ajánlatot a Kbt. 78. §-ban foglalt módszer alkalmazásával adja meg.
Fentieken túlmenően az ajánlatkérő a Kbt. 77. § (5) bekezdése alapján olyan objektív módszert vagy a Kbt. 76. § (6) bekezdés a)-d) pontjának megfelelő kiegészítő szempontot is meghatározhat a közbeszerzési dokumentumokban [10] , amelynek alapján a legkedvezőbb ajánlatot kiválasztja, ha több ajánlatnak azonos az (1) bekezdés szerint kiszámított összpontszáma, vagy a legalacsonyabb árat vagy költséget, mint egyedüli értékelési szempontot több ajánlat azonos összegben tartalmazza. Ha az ajánlatkérő nem adott meg ilyen módszert vagy szempontot, az az ajánlat minősül a legkedvezőbbnek, amely a nem egyenlő értékelési pontszámot kapott értékelési szempontok közül a legmagasabb súlyszámú értékelési szempontra nagyobb értékelési pontszámot kapott, a legalacsonyabb ár értékelési szempontja esetében pedig közjegyző jelenlétében tartott sorsolás alapján választ az ajánlatkérő a legalacsonyabb összegű ajánlatok között. Az ajánlatkérő akkor is jogosult közjegyző jelenlétében sorsolást tartani, ha a legkedvezőbb ajánlat az e bekezdés szerinti módszerrel nem határozható meg.
A kiegészítő szempontok alkalmazása esetén a Kbt. a 76. § (6) bekezdés a)-d) pontján felül egyéb követelményt nem támaszt az ajánlatkérők felé a Kbt. 77. § (5) bekezdés, a kiegészítő szempontok is értékelési szempontok lehetnek, így biztosítható ugyanis az ajánlatok megfelelő összehasonlíthatósága azonos összpontszám esetén is. Mindez azt is jelenti, hogy ezekre a kiegészítő szempontokra az értékelési szempontokra vonatkozó szabályok lesznek az irányadóak, tehát azokra az ajánlattevőknek ugyanúgy ajánlatot kell tenni, illetve ezen szempontokat a bontási eljárás keretében ismertetni kell, továbbá a hiánypótlásukra is a Kbt. 71. §-át kell irányadónak tekinteni az abban szereplő korlátokkal együtt.
Előzőek alapján – azaz tekintettel arra, hogy a Kbt. 77. § (5) bekezdés csak a Kbt. 76. § (6) bekezdés a)-d) pontjára hivatkozik – a kiegészítő szempontnak nem kell megfelelniük a Kbt. 76. § (6) bekezdés e) pontjának, azaz a kiegészítő szempont kapcsolódhat olyan ajánlati tartalmi elemhez, amely az eljárásban értékelésre került, azonban annak ugyanazon részének, elemének kétszeres értékeléséhez nem vezethet, így ugyanis nem hasonlíthatók össze az ajánlatok.
A Kbt. 77. § (3) bekezdése alapján az ajánlatkérő az értékelést követően az elektronikus árlejtést is alkalmazhatja, amennyiben arra kifejezett utalást tett az eljárást megindító felhívásban.
A Kbt. 81. § (4)-(5), Kbt. 105. § (6), Kbt. 107. § (11) bekezdésekben említett fordított bírálat (továbbiakban: fordított bírálat) alkalmazása esetén az értékelési sorrend felállításánál valamennyi ajánlatot figyelembe kell venni - ide nem értve az értékelési szempontok vonatkozásában érvénytelenséggel érintett ajánlatokat -, mivel az értékelés megelőzi a bírálatot. Fordított bírálat alkalmazásának mellőzése esetén az értékelés során kizárólag az érvényes ajánlatok vehetők figyelembe, mivel a bírálat megelőzi az értékelést.
VI. A ponthatárok közötti pontkiosztás módszerei
A Közbeszerzési Hatóság keretében működő Tanács a ponthatárok közötti pontkiosztás módszereinek bemutatását megelőzően általános elvként rögzíteni kívánja, hogy a ponthatárok közötti pontkiosztás módszere ugyan értékelési szempontonként változhat, illetve az értékelés a mennyiségi tényezők mellett, szakmai szempontok alapján értékelhető tényezőn is alapulhat, azonban az ismertetett törvényi rendelkezéseket ezekben az esetekben is a módszerek megválasztása során maradéktalanul be kell tartani.
A módszer megadása történhet a korábban bevett gyakorlat szerint matematikai képlettel vagy leíró módon (1. számú melléklet), ugyanakkor a jogalkalmazóknak lehetőségük van a függvények mentén történő értékelésre és a pontkiosztás használatára (2. számú melléklet).
1. számú melléklet
A. A relatív értékelési módszerek
Relatív értékelésen olyan módszereket kell érteni, ahol a pontszámok kiosztása a beérkezett tényleges (normál [nem fordított] bírálat esetén kizárólag az érvényes) ajánlatok egymáshoz való viszonyától függ, azaz a legelőnyösebb ajánlathoz viszonyítva történik a többi ajánlatra adott pontszámok meghatározása.
A relatív értékelési módszerek közös jellemzői:
Előnyök:
- következetes és versenyre ösztönöz;
- számítási módja egyszerű és egyértelműen kifejezi az ajánlatok közötti sorrendi különbségeket;
- csak a beérkezett ajánlatok tényleges tartalmi elemeit veszi számításba;
Hátrányok:
- az ajánlatkérő elvárásai a nem kellő alapossággal végiggondolt értékelési szempontrendszer esetén nem teljesülhetnek maradéktalanul, mivel előfordulhat, hogy olyan ajánlat kapja a legmagasabb pontszámot, amely az ajánlatkérő szempontjából objektíve nem az összességében legelőnyösebb;
A relatív értékelés módszerei:
Az arányosítás
a) Az arányosítás alábbi eseteiben eltérő képletet kell alkalmazni attól függően, hogy a legalacsonyabb vagy a legmagasabb ajánlati érték lesz a legkedvezőbb. Ennek megfelelően ezen módszernek két alesete írható le.
aa) Fordított arányosítás : ha a legalacsonyabb érték a legkedvezőbb (“legjobb ajánlat”), akkor az ajánlatkérő a legkedvezőbb tartalmi elemre a maximális pontot (felső ponthatár) adja, a többi ajánlat tartalmi elemére pedig a legkedvezőbb tartalmi elemhez viszonyítva fordítottan arányosan számolja ki a pontszámokat.
A Közbeszerzési Hatóság keretében működő Tanács felhívja a jogalkalmazók figyelmét, hogy a fordított arányosítás módszerének alkalmazása alapelvi sérelemhez vezethet, tekintettel arra, hogy az egyes megajánlások közötti azonos mértékű eltérések az ajánlattevők létszámának függvényében az adott értékelési szempont vonatkozásában a kapott pontok tekintetében nem azonos mértékű különbségként jelentkezhetnek (azaz e módszer alkalmazása torzíthat).

azaz

ahol
P: a vizsgált ajánlati elem adott szempontra vonatkozó pontszáma
P max : a pontskála felső határa
P min : a pontskála alsó határa
A legjobb : a legelőnyösebb ajánlat tartalmi eleme
A vizsgált : a vizsgált ajánlat tartalmi eleme
A módszer hátránya, hogy minél nagyobb a tartalmi elem eltérése, annál kisebb ponteltérésre kerül sor.
Nullás megajánlás nem értékelhető fordított arányosítás esetén, nullás megajánlás esetén a fenti képlet torz eredményt mutat, amely sérti az ajánlattevők esélyegyenlőségét (D.521/2015., D.736/2016.). A képlet alkalmazhatóságának nyilvánvaló korlátaira is figyelemmel [pl. ha az Alegjobb = 0, akkor a többi ajánlattevő pontszáma Pmin lesz, azaz „lenullázódik, amitől torzul a többi ajánlattevő között a verseny, mert eltűnnek az arányok; vagy ha pl. az Avizsgált = 0, akkor a képlet nem értelmezhető, tehát az ajánlatkérőnek erre az esetre szövegesen kell rendelkeznie] az ajánlatkérő feladata, hogy felmérje – és szükség esetén a közbeszerzési dokumentumokban korlátozza - hogy milyen tartományból jöhetnek a megajánlások, és olyan képletet valamint szöveges értékelési módszer leírást adjon, ami a lehetséges esetekre alkalmazható.
ab) Egyenes arányosítás: ha a legmagasabb érték a legkedvezőbb (“legjobb ajánlat”), akkor az ajánlatkérő a legkedvezőbb tartalmi elemre a maximális pontot (felső ponthatár) adja, a többi ajánlat tartalmi elemére pedig a legkedvezőbb tartalmi elemhez viszonyítva egyenesen arányosan számolja ki a pontszámokat.
A lenti képlet az egyenes arányosítás egyik fajtáját jeleníti meg, melynek lényege, hogy a megajánlások közötti százalékos eltérést a ponttartományra vetítve képezi le.

azaz

ahol:
P: a vizsgált ajánlati elem adott szempontra vonatkozó pontszáma
P max : a pontskála felső határa
P min : a pontskála alsó határa
A legjobb : a legelőnyösebb ajánlat tartalmi eleme
A vizsgált : a vizsgált ajánlat tartalmi eleme
Ezen módszer alkalmazása azon esetekben ajánlott, amikor az ajánlati értékek különbségének abszolút értékben is van jelentősége, azaz például a legjobbnak minősülő és az azt követő megajánlás közti különbség lényeges, mértéke az ajánlatkérő számára önmagában véve is releváns.
Megjegyzendő, hogy mind az aa), mind az ab) pontbeli eset feltételezi, hogy az értéktartomány pozitív legyen, ugyanis nulla, illetve negatív értékek mellett a képletek nem alkalmazhatók. Itt is utalni szükséges a képletek alkalmazhatóságának nyilvánvaló korlátaira [pl. a 0-val való osztás értelmezhetetlen, vagy ha a számláló tartalmaz 0-át, akkor az összes ajánlatot lenullázza a képlet alkalmazása, negatív értékek esetén pedig a számítás elvégzése fordított arányosítás esetén negatív értékeket fog eredményezni].
A Közbeszerzési Hatóság keretében működő Tanács felhívja a jogalkalmazók figyelmét, hogy az aa) és ab) pontok szerinti vegyes módszer alkalmazása – bizonyos értékelési szempontok egyenes, más értékelési szempontok fordított arányosítás mentén történő értékelése – során különös körültekintéssel járjanak el, tekintettel arra, hogy előfordulhat, hogy az ilyen vegyes módszer alkalmazása nem a gazdaságilag legelőnyösebb ajánlat kiválasztását eredményezi.
2. A sorba rendezés
Sorba rendezés esetén az egyes ajánlatok tartalmi elemei az összes ajánlat azonos tartalmi elemeihez viszonyított sorrendjében elfoglalt helyük szerint érnek el helyezést.
A módszer előnye, hogy egyszerű és a módszer olyan szempontok értékelése során is alkalmazható, amikor a vizsgált tulajdonsághoz nem rendelhető egyértelmű mértékegység.
Hátránya ugyanakkor, hogy a helyezésbeli különbségek automatikusan konvertálódnak pontbeli különbségekké anélkül, hogy a pontbeli különbségek egyúttal az egyes megajánlások közötti tényleges különbségeket is kifejeznék.
A Közbeszerzési Döntőbizottság határozatában [11] kifejtette, önmagában annak közlése, hogy az ajánlatkérő a sorba rendezés módszerét alkalmazza és megadja az annak keretében értékelésre kerülő ajánlati elemeket, még nem biztosítja a jogszerű értékelést. Konkrét esetben az ajánlatkérő csak annyit közölt, hogy a legjobbnak ítélt tartalmi elemet sorolja első helyre, nem közölte azonban, hogy minek alapján állapítja meg a legjobb tartalmi elemet és azt sem, hogy minek alapján minősíti a többi ajánlattevő ajánlatának tartalmi elemeit később állónak a sorban. A Döntőbizottság megítélése szerint a sorba rendezés módszerének választása esetén is rögzíteni kell az ajánlatkérőknek, hogy a sorba rendezés során mely tartalmi elemeket minősítenek előnyösnek, milyen szempontok határozzák meg a sorban elfoglalt helyet, milyen vállalások alapozhatnak meg magasabb, kedvezőbb helyezést.
B. Az abszolút értékelési módszerek
Az abszolút értékelési módszerek kapcsán a Közbeszerzési Hatóság keretében működő Tanács hangsúlyozza, hogy azok alkalmazása bizonyos értékelési szempontok esetében aggályos lehet, mivel e módszerek révén az ajánlatok értékelésére nem egymáshoz viszonyítva kerül sor.
Az abszolút értékelés olyan módszerek összessége, ahol a pontszámok kiosztása során a beérkezett tényleges (normál [nem fordított] bírálat esetén kizárólag az érvényes) ajánlatokat önmagukban ítéli meg a bírálóbizottság az ajánlatkérő elvárásait tükröző skála-rendszer alapján, azaz az ajánlatok tartalmi elemeinek egymáshoz történő közvetlen viszonyítása nélkül.
Az abszolút értékelési módszerek közös jellemzői:
Előnyök:
- a relatív értékelési módszerekhez viszonyítottan közvetlenebb módon jelzi az ajánlattevők számára az ajánlatkérő elvárásait a kedvező és a kedvezőtlen megajánlásokat illetően;
- kifejezi, hogy olyan ajánlat nem kaphatja meg a legmagasabb pontszámot, amely az ajánlatkérő szempontjából nem a legelőnyösebb, ezáltal a pontozásban a kedvezőbb ajánlat gyengeségei is kimutathatók;
Hátrányok:
- elsősorban abban az esetben alkalmazható hatékonyan, ha az ajánlatkérő jól ismeri a beszerzési piacot és pontosan meg tudja fogalmazni az ajánlattevőkkel, a beszerzés tárgyával és a szerződés teljesítésével kapcsolatos elvárásait;
- az egyes ajánlati elemekhez tartozó értéktartományok megválasztása és az ezekhez hozzárendelt pontértékek meghatározása, valamint szakmai érvekkel történő alátámasztása és dokumentálása nagy szakmai, döntéselméleti és döntéstechnológiai felkészültséget igényel;
- mivel az ajánlatkérők preferenciáit a ponthatárok közötti ponttartományok megválasztásával és az ezekhez hozzárendelt pontértékek meghatározásával előre egyértelművé teszi, a módszer nem ösztönzi kellően a versenyt, adott esetben indokolatlanul, ezáltal jogsértő módon szűkítheti az ajánlattevők körét és kizárhatja az innovatív (az ajánlatkérő által számításba nem vett, de azonos vagy hatékonyabb megoldást tartalmazó) megajánlások lehetőségét;
- lehetséges, hogy ponthatárok közötti pontszámok kiosztására nem kerül sor, amely felveti a Kbt. 76. § (9) bekezdés d) pontja szerinti követelmény teljesítésének megsértését.
Az abszolút értékelés módszere: a pontozás
Pontozás esetén az ajánlatkérő a szakmai szempontok alapján kialakított értékelési skála alapján, az egyes ajánlati elemekhez közvetlenül rendeli hozzá az előre meghatározott alsó vagy felső pontértékek közötti megfelelő pontszámot.
E módszer előnye, hogy rendkívül egyszerű, könnyen átlátható, ugyanakkor hátránya a közös jellemzők körében felsoroltakon túlmenően, hogy az adott tartalmi elem szélső értékeinek ad prioritást, míg a kialakított skála középső tartományaiban kialakuló különbségeket nem feltétlenül tükrözi megfelelő pontossággal.
Ugyanakkor hátránya a közös jellemzők körében felsoroltakon túlmenően, hogy az adott tartalmi elem szélső értékeléseiről feltételezi, hogy az a legelőnyösebb és a legkedvezőtlenebb az ajánlatkérő számára (habár előfordulhat, hogy az ideális eset a szakmai értékelési skálának nem a szélein található).
A módszerek megválasztásának és alkalmazásának módja
Az előzőekben vázolt módszerekkel kapcsolatosan a Közbeszerzési Hatóság keretében működő Tanács az alábbiakra hívja fel a figyelmet:
a) az ajánlásban nem szereplő minden további módszer megfelelhet a Kbt. rendelkezéseinek, ha az ajánlásban nem szereplő módszerekről az ajánlatkérő képes bizonyítani, hogy azok alkalmazása nem indokolatlan és nem ellentétes a Kbt. rendelkezéseivel;
b) az ajánlásban szereplő módszerek választása is lehet jogszabálysértő, ha azokat az ajánlatkérő a beszerzés konkrét körülményeit figyelmen kívül hagyva alkalmazza.
A Közbeszerzési Döntőbizottság és a bíróság eddigi gyakorlata szerint a ponthatárok közötti pontszámok kiosztása akkor felel meg a Kbt. előírásainak, ha
a) az ajánlatkérő nem a várható ajánlati elemekre tekintettel értékeli az ajánlattevői megajánlásokat, hanem a beérkezett tényleges ajánlatok tartalmi elemeit hasonlítja össze;
b) biztosított, hogy – az adott szemponthoz tartozó értékelési intervallumon – az ajánlatkérő számára kedvezőbb megajánlás azzal arányban álló magasabb pontszámot ér el;
c) a pontozás során nem változik meg az egyes szempontok súlyszámokkal kifejezett jelentősége.
Amennyiben a beszerzés tárgya, volumene, összetettsége vagy értéke azt indokolja, a Közbeszerzési Hatóság keretében működő Tanács az ajánlattevők figyelmébe ajánlja, hogy lehetőségük van döntéselméleti vagy döntéstechnológiai szakemberek igénybe vételével a beszerzési igényüknek és sajátosságaiknak leginkább megfelelő módszert (módszereket) kidolgoztatni, illetve szükség esetén döntéstámogató szoftvert beszerezni, lehetőségük van továbbá felelős akkreditált közbeszerzési szaktanácsadó, vagy adott esetben állami közbeszerzési szaktanácsadó segítségét kérni.
2. számú melléklet
Az értékelés során alkalmazható módszereket további két nagy csoportba sorolhatjuk az alapján, hogy hogyan történik a megajánlott tartalmi elemek között a pontok szétosztása, így beszélhetünk függvények mentén történő értékelésről és a pontkiosztásról.
A két módszer közötti különbség, hogy függvények alapján történő értékelésnél előre meghatározott függvény alapján történik a pontozás, meghatározott értékkészlet szerint és megadott értelmezési tartományban. Ez utóbbi kettő azért fontos, mert ezek meghatározása nélkül a függvény a végtelenből a végtelenbe tartana, tehát a módszer megadásának ezek is részei, amelyre a Kbt. is megfelelő rendelkezéseket tartalmaz a 76. § (9) és 77. § (1) bekezdésekben (a ponttartomány alsó és felső határa az értékkészlet, míg a megajánlható legkedvezőbb és legkedvezőtlenebb paraméter az értelmezési tartomány).
Pontkiosztásnál nincs egy egységes függvény, ami mentén pontozni lehetne, ezért az ajánlatkérő előre megadott értékekhez viszonyít és az értékekhez előre rendelt pontokat osztja ki (pl. „rendelkezik-e …” megajánlással, igen válasz tíz pont, nem válasz nulla pont).
A módszerek megadása is kétféle módon történhet, egyrészt a függvényt leíró képlettel és kiegészítő magyarázattal, vagy szöveges meghatározással (pl. valamelyik egyenes arányosítást szolgáló képletet használja az ajánlatkérő, vagy leírja, hogy amennyi százalékkal eltér a vizsgált paraméter a legjobb megajánláshoz képest, annyi százalékkal kap kevesebb pontszámot a vizsgált paraméter a legjobb pontszámhoz képest).
A. Javasolt függvények:
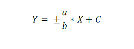
Miután a korábban bemutatott alapelvi rendelkezéseknek a függvények közül a lineáris mentén történő értékelés felelt meg, ezért az ehhez kapcsolódó függvények bemutatására kerül sor. Az alapfüggvény, amely alapján bármely további függvény felírható, a következő:

A függvény értelmezése: az iránytangens lehet pozitív vagy negatív, ezt tükrözi az előjel, azt kell jelölni, amilyen iránytangens alkalmazására sor kerül. Az „a/b” adja a függvény iránytangensének nagyságát (meredekségét), amely a legjobb pontszám és a legjobb megajánlott érték hányadosa vagy a legjobb pontszám és a legrosszabb megajánlott paraméter hányadosa, ill. itt további transzformációkra is sor kerülhet. A „C” mutatja meg, hogy hol metszi a függvény az „Y” (a pontszámhoz tartozó) tengelyt.
1. A minél magasabb paraméterű megajánlás a jó:

Magyarázat:
P vizsgált : a vizsgált megajánláshoz tartozó vizsgált pontszám;
P legjobb : az adható legmagasabb pontszám;
A legjobb : a legjobb megajánlás;
A vizsgált : az aktuálisan vizsgált megajánlás.
Látható, hogy nincs külön előjel feltüntetve, tehát az előjel pozitív, továbbá nincs semmi hozzáadva, tehát a „C” nulla, hiszen a legrosszabb megajánlás és a hozzátartozó pontszám egyaránt lehet nulla.
Ábrázolva:

A minél alacsonyabb paraméterű megajánlás a jó és a legjobb megajánlás lehet nulla:

Magyarázat:
P vizsgált : a vizsgált megajánláshoz tartozó vizsgált pontszám;
P legjobb : az adható legmagasabb pontszám;
A legroszabb : a legrosszabb megajánlás;
A vizsgált : az aktuálisan vizsgált megajánlás.
Látható, hogy negatív előjelű, tehát balról jobbra csökkenő a függvény, továbbá hozzáadásra került a P legjobb , hiszen a „C” értéke itt a legjobb pontszámnál lesz. Miután a legjobb megajánlás lehet nulla és az nem kerülhet a nevezőbe, ezért itt a legrosszabb megajánláshoz viszonyítunk.
Ábrázolva:

Alternatív javaslat az előző képletezéshez [minél alacsonyabb paraméterű megajánlás a jó és a legjobb megajánlás lehet nulla]:

Magyarázat:
P vizsgált : a vizsgált megajánláshoz tartozó vizsgált pontszám;
P legjobb : az adható legmagasabb pontszám;
P legrosszabb : az adható minimális pontszám;
A legroszabb : a legrosszabb megajánlás;
A legjobb : a legjobb megajánlás;
A vizsgált : az aktuálisan vizsgált megajánlás.
A képlet alkalmazása szintén lineáris függvényt eredményez, és torzításmentesen ugyanazokra a pontkülönbségekre vezet, mint az előző képlet alkalmazása, de a ténylegesen legkedvezőbb megajánlásoknak megfelelően osztja ki a pontokat, azaz P legjobb pontszámot ad a legkisebb megajánlásra akkor is, ha az nem nulla.
2. A minél alacsonyabb paraméterű megajánlás a jó, de nem lehet nulla:
Ennél az esetnél különböző függvények lehetnek, attól függően, hogy a legjobb megajánlás milyen mértékű (100%-os, 200%-os, stb.) eltérésénél kíván nulla pontot adni. Itt fontos megjegyezni, hogy a még kedvezőtlenebb megajánlásokra egyaránt nulla pontot ad ajánlatkérő.
100%-os eltérésnél biztosít nulla pontot:
200%-os eltérésnél biztosít nulla pontot:
Magyarázat:
P vizsgált : a vizsgált megajánláshoz tartozó vizsgált pontszám;
P legjobb : az adható legmagasabb pontszám;
A legjobb : a legjobb megajánlás;
A vizsgált : az aktuálisan vizsgált megajánlás.
Látható, hogy negatív előjelű, tehát balról jobbra csökkenő a függvény, továbbá hozzáadásra került az elsőnél a 2*P legjobb , majd a 1,5*P legjobb hiszen a „C” értéke itt a legjobb pontszám kétszeresénél, ill. másfélszeresénél lesz.
Ábrázolva az előző két függvényt:

A fenti ábrán ALj: a legjobb megajánlást, az ALr1 az első képlethez tartozó, az ALr2 a második képlethez tartozó legrosszabb megajánlást jelöli.
3. Adott esetben előfordulhat, hogy negatív megajánlásokat kellene értékelni, amely a fentiek alapján egyszerűen írható le.
4/a. Minél negatívabb megajánlás a jobb:

Magyarázat:
P vizsgált : a vizsgált megajánláshoz tartozó vizsgált pontszám;
P legjobb : az adható legmagasabb pontszám;
A legjobb : a legjobb megajánlás;
A vizsgált : az aktuálisan vizsgált megajánlás.
Magyarázat:
Azzal, hogy a megajánlások abszolútértékét vesszük, gyakorlatilag azonos függvényképet kapnánk, mint az 1. pontban. Olyan esetekben fordulhat elő, amikor egy előre meghatározott értékhez viszonyított magajánlást kívánunk értékelni, pl. a KSH árindexéhez viszonyított áremelés mértéke százalékosan, kikötve, hogy max. a KSH szerinti árindex lehet. Az előzőek alapján az a kedvezőbb, ha valaki minél nagyobb negatív számot ad meg százalékban (tehát max. -100% lehet a legjobb megajánlás, tehát röviden nulla az emelés).
4/b. Az is előfordulhat, hogy negatív és pozitív megajánlás is lehet:
Ennél az esetnél további két eset különíthető el.
4/b/1. Az az eset, amikor a legjobb megajánlás a nulla, pl. megadott mérettől való pozitív és negatív eltérés esetén:

Magyarázat:
P vizsgált : a vizsgált megajánláshoz tartozó vizsgált pontszám;
P legjobb : az adható legmagasabb pontszám;
A legjrosszabb : a legrosszabb megajánlás;
A vizsgált : az aktuálisan vizsgált megajánlás.
Az előzőek alapján látható, hogy itt is abszolútértéket használtunk és a függvény képét tekintve azonos lenne a 2. pontban ábrázolt függvénnyel.
4/b/2. Az az eset, amikor a minél negatívabb vagy a minél pozitívabb megajánlás lehet a legjobb, de az egyenes a pozitív és a negatív tartományon is áthalad:
Minél negatívabb a jobb:

Magyarázat:
P vizsgált : a vizsgált megajánláshoz tartozó vizsgált pontszám;
P legjobb : az adható legmagasabb pontszám;
A legjobb : a legjobb megajánlás;
A vizsgált : az aktuálisan vizsgált megajánlás.
Minél pozitívabb a jobb:

Magyarázat:
P vizsgált : a vizsgált megajánláshoz tartozó vizsgált pontszám;
P legjobb : az adható legmagasabb pontszám;
A legjobb : a legjobb megajánlás;
A vizsgált : az aktuálisan vizsgált megajánlás.
Ábrázolva az előző két függvényt:

B. Pontkiosztás módszere
Mint azt a korábbiakban említettük a pontkiosztás módszere olyan esetekben alkalmazható, amikor előre megadott értéket, ill. feltételt vagy teljesít a megajánlás alapján ajánlattevő vagy nem. Ennek is két alkalmazási lehetősége van (A és B pontokban térünk ki erre).
A. Az alapeset a korábban említett „Igen/Nem” választási lehetőség.
Az az eset, amikor az igen/nem feltétel külön szempontként szerepel. Itt az „Igen” válasz megkapja a maximális pontszámot, a „Nem” válasz a minimum pontszámot.
A “Igen/Nem” típusú értékelési szempont alkalmazása esetében javasolt megfontolni az auditkockázatokat és azt a szempontot, hogy ez a fajta pontozás torzíthat, hiszen csak kétféle érték ajánlható és a minimum és maximum pontszám kerül kiosztásra.
B. A második esetkör az, amikor több megajánlható érték van és ezekhez fix pontszámok tartoznak, például: minimum megajánlás feletti megajánlás, ami maximum 2 lehet, ez megkapja a maximális pontszámot, az 1 megajánlás a maximális pontszám felét és a nulla megajánlás a minimális pontszámot kapja. Természetesen itt konkrét számszerű paraméterek helyett más szöveges feltétel, ill. megajánlás is lehetséges.
I. A ponthatárok közötti pontkiosztás módszerei
Maximális vagy minimális határérték meghatározása az értékelési szempont kapcsán
Az értékelés során ajánlatkérő ebben az esetben nem tesz különbséget pontszámban az összes lehetséges ajánlat között. Erre a Kbt. 77. § (1) bekezdése biztosít lehetőséget azzal, hogy bármely szempont tekintetében lehetőség van legkedvezőtlenebb érték meghatározására, illetve az ár és költség szemponton kívül olyan érték meghatározására, melynél kedvezőbben az ajánlatkérő többlet ponttal nem értékel, azaz, amelytől kezdődően minden ajánlat maximális pontot kap. Ebben az esetben az értékelést – függvény alapú értékelés esetén – olyan függvénnyel lehet meghatározni, melynél a függvény az értelmezési tartomány különböző tartományaiban eltérő. Az értékelési módszer részeként tehát nem csak a különbségtételnél használt függvény képletét kell meghatározni, hanem az értelmezési tartomány azon részét is, amelynél a függvény konstans értékek vesz fel.
Az értékelési módszer meghatározása során különös figyelmet kell fordítani arra, hogy az ajánlatkérői szándéknak megfelelő matematikai vagy szöveges meghatározások szülessenek. Ennek kapcsán fontos rögzíteni:
a) a függvény értelmezési tartománya: az ajánlattevők megajánlásai;
b) a függvény értékkészlete: az ajánlatkérő által meghatározott pontsáv (minimális és maximális érték közötti tartomány, beleértve a minimális és maximális értéket is).
Amennyiben ajánlatkérő az értékelési szemponttal kapcsolatban érvényességi küszöbértéket határoz meg, (az ennél nagyobb vagy kisebb értéket tartalmazó ajánlat érvénytelen) akkor az értelmezési tartományt csökkenti (levágja), amennyiben viszont olyan értéket határoz meg, amelynél kedvezőbbet vagy kedvezőtlenebbet már nem kíván pontszámkülönbséggel értékelni, akkor az értelmezési tartomány nem változik, csak a hozzárendelési szabály (függvény) módosul az értelmezési tartomány különböző pontjain.
Példa:
A vizsgált értékelési szemponthoz választott pontsáv 0-100
A magasabb érték a kedvezőbb (egy bizonyos sávon belül), így az egyenes arányosítás alapján a függvény általános képlete:
p(A)= (A/A lekedvezőbb )*p max
ahol
A – vizsgált ajánlat
A legkedvezőbb ajánlat – legkedvezőbb ajánlat
p max – maximum pontszám (100)
Ajánlatkérő a fenti általános szabályon felül a dokumentumokban a következő kikötéseket teszi:
„2” érték alatti megajánlás érvénytelen
„4” érték minimális pontszámot eredményez
„10” érték maximális pontszámot eredményez
„14” érték feletti megajánlás érvénytelen.
A fentiek figyelembevételével az értékelés során használt függvény az alábbiak szerint módosul.
Értelmezési tartomány: D(p) = {A R|2≤A≤14}, ami azt jelenti, hogy érvényesen a 2 és a 14, valamint az ezek közötti racionális számok ajánlhatók meg az eljárás során. Ezt a két értéket az érvényességi határérték határozza meg.
Függvény:
p(A) = 0, ha 2≤A≤4
p(A) = (A/A lekedvezőbb )*p max , ha 4<A<10
p(A) = 100, ha 10≤A<14
Kiegészítő szabály a legkedvezőbb ajánlat figyelembe vétele miatt:
A legkedvezőbb ajánlat = tényleges legkedvezőbb megajánlás, ha annak értéke ≤ 10;
A legkedvezőbb ajánlat = 10, ha a legkedvezőbb megajánlás > 10.
A fenti képlet és peremfeltétel rendszer az összes lehetséges ajánlatkérői megkötés hatását tartalmazza. Természetesen ajánlatkérőnek csak az általa az adott eljárásban alkalmazni kívánt feltétel miatti hatást kell megfelelően szabályoznia az eljárás során. A képlettek és matematikai jelek helyettesíthetők szöveges meghatározással is, az egyértelmű értékelés alapfeltétele csupán annyi, hogy ajánlatkérő a lehetséges összes ajánlati elem esetére határozza meg az értékelési módszert és eljárását, mert így felel meg a Kbt. 76. § (9) bekezdés d) pont szerinti feltételeknek.
A módszerek alkalmazhatósága a sorrend megváltozása szempontjából
A Kbt. az alábbiakban az értékelési módszerre figyelemmel feltételt támaszt egy bírálati eljárásjogi lépés alkalmazhatósága tekintetében:
„69. § (6) Az ajánlatkérő az eljárást lezáró döntés meghozatalát megelőzően dönthet úgy, hogy a (4) bekezdésben foglaltak szerint nemcsak a legkedvezőbb, hanem az értékelési sorrendben azt követő meghatározott számú következő legkedvezőbb ajánlattevőt is felhívja az igazolások benyújtására, és az érintett ajánlattevők ajánlata vonatkozásában ellenőrzi a (11) bekezdés szerinti adatbázisok adatait. Az ajánlatkérő az összegezésben csak akkor nevezheti meg a második legkedvezőbb ajánlattevőt, ha az eljárást lezáró döntés meghozatalát megelőzően őt is felhívta az igazolások benyújtására és az érintett ajánlattevő ajánlata vonatkozásában ellenőrizte a (11) bekezdés szerinti adatbázisok adatait. Az e bekezdés szerinti lehetőséggel az ajánlatkérő akkor élhet, ha az értékelés módszerét figyelembe véve valamelyik ajánlat figyelmen kívül hagyása esetén az ajánlattevők egymáshoz viszonyított sorrendje nem változik.”
Az említett feltétel (Kbt. 69. § (6) bekezdés) a bírálat általános szabályai között szerepel és kiemelt jelentősége van az eljárás gyorsításában és a nyertest követő legkedvezőbb ajánlat kihirdetésének szándéka esetén.
A Kbt. 69. § (6) bekezdés alkalmazását igazoló ajánlatkérői lépések
A vizsgálat időpontja: az ajánlatkérőnek a vizsgálatot a Kbt. 69. § (3) bekezdés szerint végrehajtott értékelést követően kell elvégeznie („…az eljárást lezáró döntés meghozatalát megelőzően…”). Ebből következik, hogy ebben a kérdéskörben az eljárást megindító felhívásnak semmilyen információt nem kell tartalmaznia.
A vizsgálatot befolyásoló körülmények: az ajánlatkérőnek a vizsgálat során az előre meghatározott értékelési szempontrendszere és a beérkezett ajánlatok együttes vizsgálatát kell végrehajtania, ami azt jelenti, hogy nem a szempontrendszerből fakadó általános lehetőségeket, hanem az ajánlatok szempontrendszer szerinti konkrét eredményét kell ellenőriznie. Emellett, az ajánlatkérőnek ellenőriznie kell a Kbt. 69. § (11) bekezdés szerinti adatbázisok adatait is.
A vizsgálat tartalma: az ajánlatkérő akkor tesz eleget a Kbt. 69. § (6) bekezdés szerinti feltételnek, amennyiben a felhívni kívánt ajánlattevők esetében előre, az igazolásra felhívást megelőzően megvizsgálja, hogy ezen ajánlattevők közül bármilyen variációban történő figyelmen kívül hagyás az értékelés során az ajánlattevők egymáshoz viszonyított sorrendjében okoz-e változást.
Példa:
Az ajánlatkérő Kbt. 69. § (3) bekezdés szerinti értékelése az alábbi eredményt hozta:
- A Kft. – 895 pont
- B Kft. – 786 pont
- C Kft. – 776 pont
- D Kft. – 658 pont
- E Kft. – 623 pont
- F Kft. – 620 pont
- G Kft. – 523 pont.
Az ajánlatkérő a Kbt. 69. § (6) bekezdés alapján az igazolást az A Kft., B Kft. és C Kft. ajánlattevőktől kívánja bekérni, és az ő vonatkozásukban kívánja ellenőrizni a Kbt. 69. § (11) bekezdés szerinti adatbázisok adatait is. Ebben az esetben az alábbi vizsgálatokat kell végrehajtania:
1. Értékelésből kivett ajánlattevő: A Kft.
Elvárt sorrend (Kft. feltüntetés nélkül): B; C; D; E; F; G
2. Értékelésből kivett ajánlattevő: B Kft.
Elvárt sorrend (Kft. feltüntetés nélkül): A; C; D; E; F; G
3. Értékelésből kivett ajánlattevő: C Kft.
Elvárt sorrend (Kft. feltüntetés nélkül): A; B; D; E; F; G
4. Értékelésből kivett ajánlattevő: A Kft.; B Kft.
Elvárt sorrend (Kft. feltüntetés nélkül): C; D; E; F; G
5. Értékelésből kivett ajánlattevő: A Kft.; C Kft.
Elvárt sorrend (Kft. feltüntetés nélkül): B; D; E; F; G
6. Értékelésből kivett ajánlattevő: B Kft.; C Kft.
Elvárt sorrend (Kft. feltüntetés nélkül): A; D; E; F; G
7. Értékelésből kivett ajánlattevő: A Kft.; B Kft.; C Kft.
Elvárt sorrend (Kft. feltüntetés nélkül): D; E; F; G
A 7. esetben az igazolás bekérése eredménytelen, de a módszer alkalmazhatóságának vizsgálatához ezt az esetet is ellenőrizni szükséges, mert ez is megfelel a „valamelyik ajánlat figyelmen kívül hagyása” feltételnek. Az ajánlatkérő a példában csak abban az esetben járhat el, ha a fenti eredményt kapta. Amennyiben bármely esetben akármelyik két ajánlattevő egymáshoz viszonyított sorrendje megváltozik, úgy csak kevesebb ajánlattevő hívható fel az igazolások benyújtására.
Lábjegyzetek
1Az Irányelv (90) preambulumbekezdése
2Kbt. 76. § (3) bekezdés
3E témakörben további vizsgálati szempontként javasolt figyelembe venni az Európai Unió zöld közbeszerzési követelményrendszerét is, amely magyar nyelven is elérhető az unió zöld közbeszerzésekkel foglalkozó weboldalán: https://green-business.ec.europa.eu/green-public- procurement/gpp-criteria-and-requirements_en#gpp-requirements-in-sectoral-legislation
4Korm. rendelet 9. § (3) bekezdés
5Korm. rendelet 24. § (2) bekezdés
6A Közbeszerzési Döntőbizottság D.463/18/2023. számú határozatának 53-55. pontjai
7Kbt. 76. § (3) bekezdés b) pont
9Lásd továbbá: a Kbt. 55. § (6) bekezdésével kapcsolatos segédanyag 4. pontja. A segédanyag az alábbi linken érhető el: https://www.kozbeszerzes.hu/media/documents/%C3%81tdolgozott_Seg%C3%A9danyag_55.__6_egys%C3%A9ges_szerkezetben.pdf
10A Kbt. 2020. április 1-jétől hatályos szabálya alapján.
11Ld. Közbeszerzési Döntőbizottság D.800/16/2010. számú határozata